Lạng Sơn "hoàn toàn ủng hộ, không giấu cái gì" nếu Học viện An ninh muốn rà soát lại thí sinh
Chiều 6-8, trao đổi với PV báo Công an dân dân, lãnh đạo Phòng đào tạo, Học viện An ninh nhân dân (ANND) cho biết:
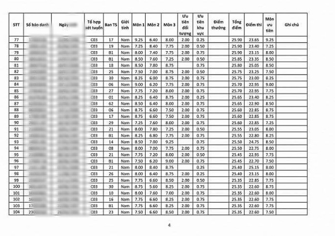
Kết quả thống kê dữ liệu dưới dạng định lượng từ danh sách thí sinh trúng tuyển vào Học viện ANND năm 2018 cho thấy, số lượng thí sinh trúng tuyển năm nay phần lớn tập trung vào các tỉnh miền núi phía Bắc như Lạng Sơn, Hòa Bình, Sơn La, Cao Bằng, Bắc Kạn.
Trong khi đó, các địa phương có truyền thống hiếu học và có tỷ lệ thí sinh trúng tuyển cao các năm trước năm lại có tỷ lệ thấp hơn nhiều.
-
Các thủ khoa của Học viện An ninh năm 2018 đều là thí sinh của Lạng Sơn và Hòa Bình
Năm nay, Lạng Sơn cũng là tỉnh vươn lên dẫn đầu cả nước về tỷ lệ thí sinh trúng tuyển vào Học viện ANND với 23 thí sinh. Trong số này có 12 thí sinh thi tại Lạng Sơn và 12 thí sinh thuộc K20 thi tại Lạng Sơn, chiếm tỷ lệ 10,5%.
Cùng đứng thứ 2 là Hòa Bình và Cao Bằng, mỗi tỉnh có 14 thí sinh, chiếm tỷ lệ 6,4%. Xếp vị trí thứ 3 là Hà Tĩnh với 15 thí sinh, chiếm tỷ lệ 6,82%.
Đứng vị trí thứ 4 tiếp tục là hai tỉnh miền núi phía Bắc khác là Sơn La và Bắc Kạn, mỗi tỉnh 11 người, chiếm tỷ lệ 4,5%.
Ngoài ra, Hòa Bình và Lạng Sơn có 5/6 thí sinh là thủ khoa vào Học viện ANND năm nay.
Đại diện nhà trường cho biết với báo trên, xét thấy kết quả thống kê dữ liệu này có những khác thường so với diễn biến thực tế của kỳ thi THPTQG 2018, cũng như các trường đại học khác, nhà trường mong muốn lãnh cấp trên có thể xem xét, tiến hành nghiên cứu và rà soát lại.
Thậm chí, trong trường hợp cần thiết, có thể đối chiếu điểm với bài thi gốc của một số thí sinh trúng tuyển, nhất là các địa phương đang có nghi vấn gian lận điểm thi THPTQG nhằm đảm bảo tính chính xác, công bằng cũng như đảm bảo chất lượng đào tạo của nhà trường.
|
Lượng thí sinh trúng tuyển vào Học viện An ninh nhân dân năm nay phần lớn tập trung vào các tỉnh miền núi phía Bắc.
Nói về vấn đề trên, ông Hồ Tiến Thiệu, Phó Chủ tịch UBND tỉnh kiêm Trưởng Ban Chỉ đạo thi THPT quốc gia 2018 tại tỉnh Lạng Sơn khẳng định trên báo Người lao động rằng: Nếu trong quy chế, quy định cho phép rà soát, đối chiếu điểm thi với bài thi gốc của một số thí sinh trúng tuyển thì "chúng tôi hoàn toàn ủng hộ, không giấu cái gì".
Theo ông Thiệu, đối với thẩm quyền của các trường, trước khi thí sinh trúng tuyển nhập học, các trường có quyền tổ chức để kiểm tra kiến thức đầu vào. "Đó là việc nằm trong thẩm quyền của các trường. Chúng tôi ủng hộ hoàn toàn, vì như vậy cho minh bạch".
-
Giám đốc CA Hòa Bình nói về lá thư nặc danh gửi đến lãnh đạo tỉnh khiến vụ gian lận điểm vỡ lở
Bên cạnh đó, Phó Chủ tịch UBND tỉnh kiêm Trưởng Ban Chỉ đạo thi THPT quốc gia 2018 tại tỉnh Lạng Sơn khẳng định ủng hộ Học viện An ninh nhân dân tiến hành rà soát, đối chiếu điểm thi với bài thi gốc của một số thí sinh trúng tuyển vừa qua, song phải theo quy định pháp luật.
"Nếu quy định cho phép thì làm, không cho phép thì không được làm"- báo Người lao động ghi lời ông Thiệu.
Liên quan đến vấn đề rà soát lại thí sinh trúng tuyển, trả lời báo Zing.vn ngày 7/8, TS Nguyễn Thị Lan Hồng, Phó trưởng phòng Đào tạo, Học viện An ninh Nhân dân, trường mới tập trung xét tuyển theo lịch và quy định, chưa có đề xuất về rà soát thí sinh trúng tuyển năm nay. Mọi hoạt động tuyển sinh của học viện đều theo hướng dẫn của Bộ Công an.
Ông Trần Anh Tuấn - Phó vụ trưởng Vụ Giáo dục Đại học, Bộ GD&ĐT cũng thông tin với bảo trên, hiện, Bộ GD&ĐT đã xác minh thông tin này và học viện trả lời chưa có đề xuất về việc yêu cầu rà soát.
Tổng hợp
Bảo Bình
Tin bài liên quan
Các tin bài khác
Thời tiết hôm nay (22/4): Cả nước nắng nóng gay gắt
Thời tiết hôm nay (14/4): Bắc Bộ nắng nóng cục bộ, có nơi trên 40 độ C
Giải pháp Biofill PRF trong cân chỉnh gương mặt tự thân
Thời tiết hôm nay (8/4): Nắng nóng gay gắt bao trùm nhiều khu vực
Đọc nhiều
Ông Trần Huy Tuấn: Tôi tin tưởng Ninh Bình sẽ ngày càng khẳng định vị thế trong tương lai
Diễn đàn Du lịch Việt Nam – Bulgaria: Thúc đẩy kết nối, đón đầu xu hướng dịch chuyển
Kiều bào tại Macau (Trung Quốc) kỷ niệm 51 năm Giải phóng miền Nam, hướng về quê hương
Giỗ Tổ Hùng Vương trong mắt bạn bè quốc tế: Trang nghiêm, gắn kết cộng đồng
Bờ cõi biển đảo
Miền đất - Con người Cuộc sống vùng biên Nhịp sống biển đảo Lịch sử chủ quyền Giao lưu hữu nghị
Nhật ký khai thác điện tử: Bước tiến trong hiện đại hóa nghề cá tại Thành phố Hồ Chí Minh
Khi những trang sách mở cửa tri thức cho trẻ em vùng biên Mường Nhé
Cảnh sát biển Việt Nam lên đường tuần tra liên hợp với Cảnh sát biển Trung Quốc
[Video] Cử tri cả nước nô nức đi bầu cử đại biểu Quốc hội khóa XVI và HĐND các cấp
[VIDEO] Tinh thần dân chủ của nhân dân Việt Nam trong bầu cử
Tổ chức Giao lưu Quốc tế Việt Nam Nhật Bản (FAVIJA): thúc đẩy hữu nghị, hợp tác đa phương
[Video] Vũ điệu chúc xuân sôi động của Đại sứ Hà Lan tại Việt Nam
[Video] Đại sứ Lào tại Việt Nam tin tưởng Đại hội XIV sẽ tạo động lực mạnh mẽ cho Việt Nam phát triển toàn diện
[Video] WVIV thúc đẩy nông nghiệp tái sinh, nâng cao sinh kế cộng đồng tại Thanh Hóa
[Video] Plan International và Tỉnh Đoàn Quảng Trị xây dựng lực lượng thanh niên hành động vì khí hậu
[Video] 10 sự kiện văn hóa, thể thao và du lịch tiêu biểu năm 2025
Plan International Việt Nam hỗ trợ khẩn cấp hơn 1,8 tỷ đồng cho người dân Đà Nẵng sau bão
Vietnam Happy Fest 2025: Lan tỏa những giá trị hạnh phúc giữa lòng Hà Nội
[VIDEO] Tổ chức Cứu trợ Trẻ em tiếp sức trẻ em Bắc Ninh sớm quay về nhịp sống sau thiên tai
[Video] World Vision hỗ trợ hơn 1.100 người dân Quảng Ngãi tiếp cận nước sạch bền vững
[Video] Đồng tâm, dốc sức cứu trợ đồng bào vùng lũ
[Video] Ấn Độ tặng Giải thưởng Hòa bình Romesh Chandra cho bà Nguyễn Thị Bình




